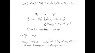
Solve Parabolic equation with explicit scheme and Crank Nicolson scheme video 1

Tonton & Download Video Musik Gratis

⬇ DOWNLOAD NOW
Jika muncul iklan pop-up, tutup lalu klik tombol kembali

Download lagu Solve Parabolic equation with explicit scheme and Crank Nicolson scheme video 1 secara gratis hanya untuk keperluan promosi. Dukung artis favorit kamu dengan membeli musik original di iTunes atau platform resmi lainnya.