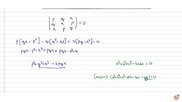
The three lines px+qy+r=0,qx+ry+p=0,rx+py+q=0 are concurrent if

Tonton & Download Video Musik Gratis

⬇ DOWNLOAD NOW
Jika muncul iklan pop-up, tutup lalu klik tombol kembali

Download lagu The three lines px+qy+r=0,qx+ry+p=0,rx+py+q=0 are concurrent if secara gratis hanya untuk keperluan promosi. Dukung artis favorit kamu dengan membeli musik original di iTunes atau platform resmi lainnya.