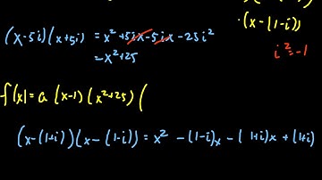
Lecture 4 -- Fundamental Theorem of Algebra and factorization of polynomials

Tonton & Download Video Musik Gratis

⬇ DOWNLOAD NOW
Jika muncul iklan pop-up, tutup lalu klik tombol kembali

Download lagu Lecture 4 -- Fundamental Theorem of Algebra and factorization of polynomials secara gratis hanya untuk keperluan promosi. Dukung artis favorit kamu dengan membeli musik original di iTunes atau platform resmi lainnya.