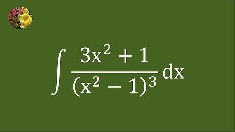
2nd method to evaluate the indefinite integral using elementary techniques (Mis-2A)

Tonton & Download Video Musik Gratis

⬇ DOWNLOAD NOW
Jika muncul iklan pop-up, tutup lalu klik tombol kembali

Download lagu 2nd method to evaluate the indefinite integral using elementary techniques (Mis-2A) secara gratis hanya untuk keperluan promosi. Dukung artis favorit kamu dengan membeli musik original di iTunes atau platform resmi lainnya.