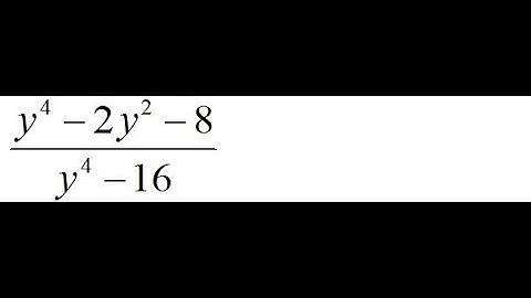
Simplifying Algebraic Fractions | Reduce to the Lowest Terms Step by Step 12

Tonton & Download Video Musik Gratis

⬇ DOWNLOAD NOW
Jika muncul iklan pop-up, tutup lalu klik tombol kembali

Download lagu Simplifying Algebraic Fractions | Reduce to the Lowest Terms Step by Step 12 secara gratis hanya untuk keperluan promosi. Dukung artis favorit kamu dengan membeli musik original di iTunes atau platform resmi lainnya.