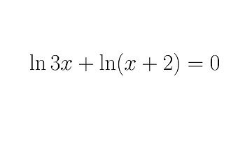
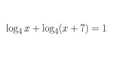
Ex: Solve a Logarithmic Equation With a Sum - Quadratic Formula

Tonton & Download Video Musik Gratis

⬇ DOWNLOAD NOW
Jika muncul iklan pop-up, tutup lalu klik tombol kembali

Download lagu Ex: Solve a Logarithmic Equation With a Sum - Quadratic Formula secara gratis hanya untuk keperluan promosi. Dukung artis favorit kamu dengan membeli musik original di iTunes atau platform resmi lainnya.