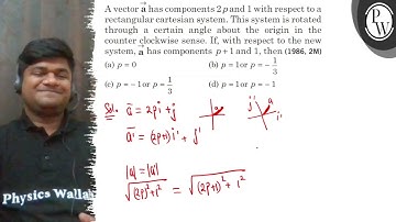
A vector 𝒂 ⃗ has components 3p and 1 with respect to a rectangular Cartesian system. This system

Tonton & Download Video Musik Gratis

⬇ DOWNLOAD NOW
Jika muncul iklan pop-up, tutup lalu klik tombol kembali

Download lagu A vector 𝒂 ⃗ has components 3p and 1 with respect to a rectangular Cartesian system. This system secara gratis hanya untuk keperluan promosi. Dukung artis favorit kamu dengan membeli musik original di iTunes atau platform resmi lainnya.