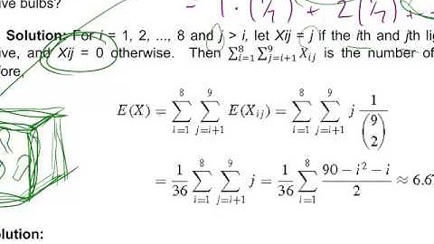
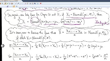
MA 381: Section 10.1: Expected Value And Variance of Sums of Random Variables: Example 2

Tonton & Download Video Musik Gratis

⬇ DOWNLOAD NOW
Jika muncul iklan pop-up, tutup lalu klik tombol kembali

Download lagu MA 381: Section 10.1: Expected Value And Variance of Sums of Random Variables: Example 2 secara gratis hanya untuk keperluan promosi. Dukung artis favorit kamu dengan membeli musik original di iTunes atau platform resmi lainnya.