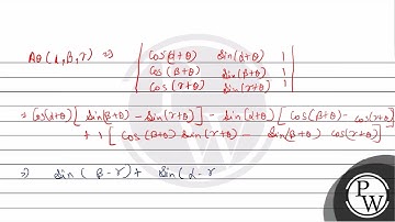
If a line makes angles \\(\\alpha, \\beta\\) and \\(\\gamma\\) with \\(\\mathrm{x}\\)-axis, \\(\....

Tonton & Download Video Musik Gratis

⬇ DOWNLOAD NOW
Jika muncul iklan pop-up, tutup lalu klik tombol kembali

Download lagu If a line makes angles \\(\\alpha, \\beta\\) and \\(\\gamma\\) with \\(\\mathrm{x}\\)-axis, \\(\.... secara gratis hanya untuk keperluan promosi. Dukung artis favorit kamu dengan membeli musik original di iTunes atau platform resmi lainnya.