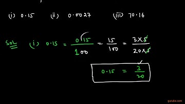
What is a terminating decimal number? How to convert terminating decimal to rational # ?

Tonton & Download Video Musik Gratis

⬇ DOWNLOAD NOW
Jika muncul iklan pop-up, tutup lalu klik tombol kembali

Download lagu What is a terminating decimal number? How to convert terminating decimal to rational # ? secara gratis hanya untuk keperluan promosi. Dukung artis favorit kamu dengan membeli musik original di iTunes atau platform resmi lainnya.