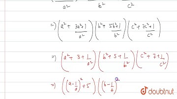
If \( a, b, c \) are non-zero real number, then the minimum value of the expression \[ \left(\fr...

Tonton & Download Video Musik Gratis

⬇ DOWNLOAD NOW
Jika muncul iklan pop-up, tutup lalu klik tombol kembali

Download lagu If \( a, b, c \) are non-zero real number, then the minimum value of the expression \[ \left(\fr... secara gratis hanya untuk keperluan promosi. Dukung artis favorit kamu dengan membeli musik original di iTunes atau platform resmi lainnya.