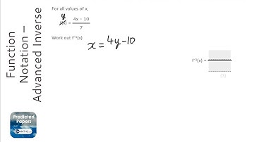
Function Notation: Find Advanced Inverse Function (Grade 9) - OnMaths GCSE Maths Revision

Tonton & Download Video Musik Gratis

⬇ DOWNLOAD NOW
Jika muncul iklan pop-up, tutup lalu klik tombol kembali

Download lagu Function Notation: Find Advanced Inverse Function (Grade 9) - OnMaths GCSE Maths Revision secara gratis hanya untuk keperluan promosi. Dukung artis favorit kamu dengan membeli musik original di iTunes atau platform resmi lainnya.