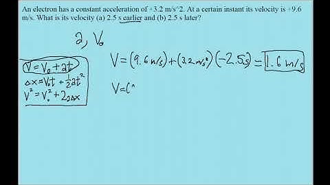
At any instant of time t, the displacement of any particle is given by 2t -1 (SI unit) under the

Tonton & Download Video Musik Gratis

⬇ DOWNLOAD NOW
Jika muncul iklan pop-up, tutup lalu klik tombol kembali

Download lagu At any instant of time t, the displacement of any particle is given by 2t -1 (SI unit) under the secara gratis hanya untuk keperluan promosi. Dukung artis favorit kamu dengan membeli musik original di iTunes atau platform resmi lainnya.