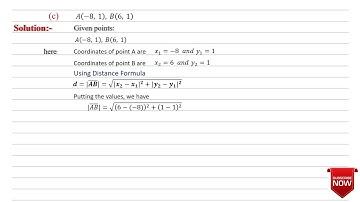
Exercise 9.1 Q.1 (a) Find the distance between the following pairs of points.

Tonton & Download Video Musik Gratis

⬇ DOWNLOAD NOW
Jika muncul iklan pop-up, tutup lalu klik tombol kembali

Download lagu Exercise 9.1 Q.1 (a) Find the distance between the following pairs of points. secara gratis hanya untuk keperluan promosi. Dukung artis favorit kamu dengan membeli musik original di iTunes atau platform resmi lainnya.