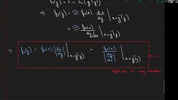
EE564 Lecture 10 Transformations of Random Variables Monotonically Increasing

Tonton & Download Video Musik Gratis

⬇ DOWNLOAD NOW
Jika muncul iklan pop-up, tutup lalu klik tombol kembali

Download lagu EE564 Lecture 10 Transformations of Random Variables Monotonically Increasing secara gratis hanya untuk keperluan promosi. Dukung artis favorit kamu dengan membeli musik original di iTunes atau platform resmi lainnya.