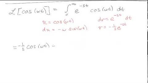
Laplace's transform of sine and cosine functions |Properties of Laplace's transform and its pair|

Tonton & Download Video Musik Gratis

⬇ DOWNLOAD NOW
Jika muncul iklan pop-up, tutup lalu klik tombol kembali

Download lagu Laplace's transform of sine and cosine functions |Properties of Laplace's transform and its pair| secara gratis hanya untuk keperluan promosi. Dukung artis favorit kamu dengan membeli musik original di iTunes atau platform resmi lainnya.