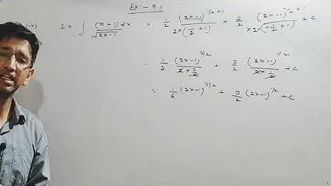
Class 12th Elements Maths exercise 9.1(Q. 4 to 6) chapter- indefinite integral part 3

Tonton & Download Video Musik Gratis

⬇ DOWNLOAD NOW
Jika muncul iklan pop-up, tutup lalu klik tombol kembali

Download lagu Class 12th Elements Maths exercise 9.1(Q. 4 to 6) chapter- indefinite integral part 3 secara gratis hanya untuk keperluan promosi. Dukung artis favorit kamu dengan membeli musik original di iTunes atau platform resmi lainnya.