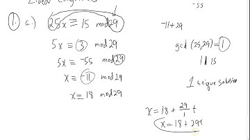
Lecture 1- Linear Congruences and its important theorems in number theory ,B.A./B.Sc.-1

Tonton & Download Video Musik Gratis

⬇ DOWNLOAD NOW
Jika muncul iklan pop-up, tutup lalu klik tombol kembali

Download lagu Lecture 1- Linear Congruences and its important theorems in number theory ,B.A./B.Sc.-1 secara gratis hanya untuk keperluan promosi. Dukung artis favorit kamu dengan membeli musik original di iTunes atau platform resmi lainnya.