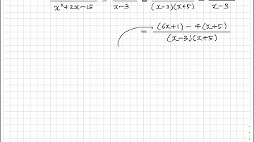
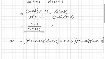
A-level Maths Edexcel Pure 2 Review exercise 1 Q4 (Ch1.2 Algebraic fractions) (2017 Specifications)

Tonton & Download Video Musik Gratis

⬇ DOWNLOAD NOW
Jika muncul iklan pop-up, tutup lalu klik tombol kembali

Download lagu A-level Maths Edexcel Pure 2 Review exercise 1 Q4 (Ch1.2 Algebraic fractions) (2017 Specifications) secara gratis hanya untuk keperluan promosi. Dukung artis favorit kamu dengan membeli musik original di iTunes atau platform resmi lainnya.