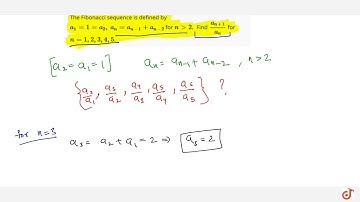
The Fibonacci sequence is defined by `1=a_1=a_2` and `a_n=a_(n-1)+a_(n-2),n gt 2`.

Tonton & Download Video Musik Gratis

⬇ DOWNLOAD NOW
Jika muncul iklan pop-up, tutup lalu klik tombol kembali

Download lagu The Fibonacci sequence is defined by `1=a_1=a_2` and `a_n=a_(n-1)+a_(n-2),n gt 2`. secara gratis hanya untuk keperluan promosi. Dukung artis favorit kamu dengan membeli musik original di iTunes atau platform resmi lainnya.