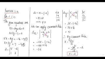
|| TN Class 12 Maths Chapter 1 || Ex 1.4 Q 1 (ii) Applications of Matrices and Determinants ||

Tonton & Download Video Musik Gratis

⬇ DOWNLOAD NOW
Jika muncul iklan pop-up, tutup lalu klik tombol kembali

Download lagu || TN Class 12 Maths Chapter 1 || Ex 1.4 Q 1 (ii) Applications of Matrices and Determinants || secara gratis hanya untuk keperluan promosi. Dukung artis favorit kamu dengan membeli musik original di iTunes atau platform resmi lainnya.