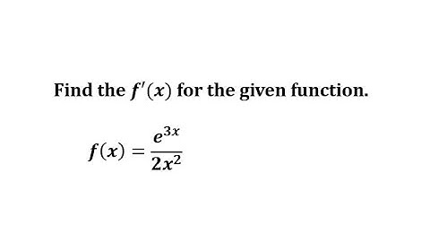
QUOTIENT RULE - Find Derivative Involving Exponential Functions | Maths Methods

Tonton & Download Video Musik Gratis

⬇ DOWNLOAD NOW
Jika muncul iklan pop-up, tutup lalu klik tombol kembali

Download lagu QUOTIENT RULE - Find Derivative Involving Exponential Functions | Maths Methods secara gratis hanya untuk keperluan promosi. Dukung artis favorit kamu dengan membeli musik original di iTunes atau platform resmi lainnya.