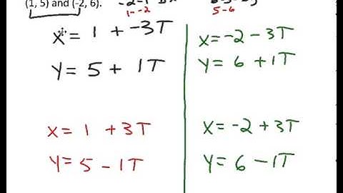
Find the points on the parametric curve c(t) (3t^2 St, t^3 10t) where the tangent line has slope (x…

Tonton & Download Video Musik Gratis

⬇ DOWNLOAD NOW
Jika muncul iklan pop-up, tutup lalu klik tombol kembali

Download lagu Find the points on the parametric curve c(t) (3t^2 St, t^3 10t) where the tangent line has slope (x… secara gratis hanya untuk keperluan promosi. Dukung artis favorit kamu dengan membeli musik original di iTunes atau platform resmi lainnya.