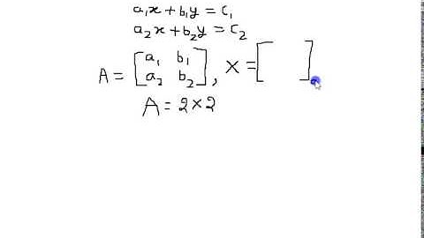
Math 1315 -- Section 6.1 -- Solving Systems of Linear Equations Using Matrices

Tonton & Download Video Musik Gratis

⬇ DOWNLOAD NOW
Jika muncul iklan pop-up, tutup lalu klik tombol kembali

Download lagu Math 1315 -- Section 6.1 -- Solving Systems of Linear Equations Using Matrices secara gratis hanya untuk keperluan promosi. Dukung artis favorit kamu dengan membeli musik original di iTunes atau platform resmi lainnya.