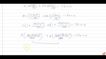
If in a triangle ABC a cos^2⁡〖C/2+c cos^2⁡〖A/2=3b/2,〗 〗 then the sides of the triangle are in

Tonton & Download Video Musik Gratis

⬇ DOWNLOAD NOW
Jika muncul iklan pop-up, tutup lalu klik tombol kembali

Download lagu If in a triangle ABC a cos^2⁡〖C/2+c cos^2⁡〖A/2=3b/2,〗 〗 then the sides of the triangle are in secara gratis hanya untuk keperluan promosi. Dukung artis favorit kamu dengan membeli musik original di iTunes atau platform resmi lainnya.