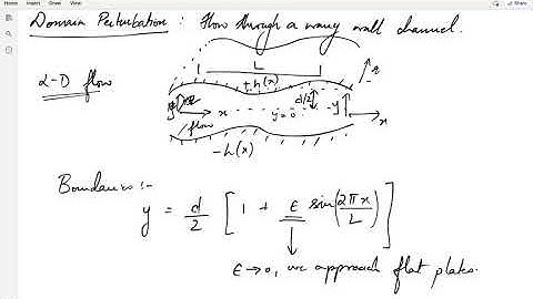
Mod-01 Lec-18 Domain perturbation methods: Flow between wavy walls

Tonton & Download Video Musik Gratis

⬇ DOWNLOAD NOW
Jika muncul iklan pop-up, tutup lalu klik tombol kembali

Download lagu Mod-01 Lec-18 Domain perturbation methods: Flow between wavy walls secara gratis hanya untuk keperluan promosi. Dukung artis favorit kamu dengan membeli musik original di iTunes atau platform resmi lainnya.