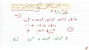
Find the values of a and b so that (x+1) and (x-1) are factors of x^4+a x^3-3 x^2+2 x+b

Tonton & Download Video Musik Gratis

⬇ DOWNLOAD NOW
Jika muncul iklan pop-up, tutup lalu klik tombol kembali

Download lagu Find the values of a and b so that (x+1) and (x-1) are factors of x^4+a x^3-3 x^2+2 x+b secara gratis hanya untuk keperluan promosi. Dukung artis favorit kamu dengan membeli musik original di iTunes atau platform resmi lainnya.