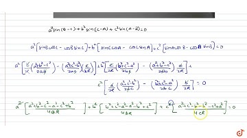
In any triangle ABC, prove the following:(a^2sin(B-C)/sinA)+(b^2sin(C-A)/sinB)+(c^2sin(A-B)/sinC)=0

Tonton & Download Video Musik Gratis

⬇ DOWNLOAD NOW
Jika muncul iklan pop-up, tutup lalu klik tombol kembali

Download lagu In any triangle ABC, prove the following:(a^2sin(B-C)/sinA)+(b^2sin(C-A)/sinB)+(c^2sin(A-B)/sinC)=0 secara gratis hanya untuk keperluan promosi. Dukung artis favorit kamu dengan membeli musik original di iTunes atau platform resmi lainnya.