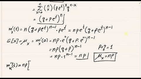
Binomial Distribution|MOMENT GENERATING FUNCTION (Mgf) | Mean & Variance

Tonton & Download Video Musik Gratis

⬇ DOWNLOAD NOW
Jika muncul iklan pop-up, tutup lalu klik tombol kembali

Download lagu Binomial Distribution|MOMENT GENERATING FUNCTION (Mgf) | Mean & Variance secara gratis hanya untuk keperluan promosi. Dukung artis favorit kamu dengan membeli musik original di iTunes atau platform resmi lainnya.