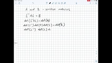
True or False: If A and B are square matrices such that A^2 is similar to B^2, then A is simila…

Tonton & Download Video Musik Gratis

⬇ DOWNLOAD NOW
Jika muncul iklan pop-up, tutup lalu klik tombol kembali

Download lagu True or False: If A and B are square matrices such that A^2 is similar to B^2, then A is simila… secara gratis hanya untuk keperluan promosi. Dukung artis favorit kamu dengan membeli musik original di iTunes atau platform resmi lainnya.