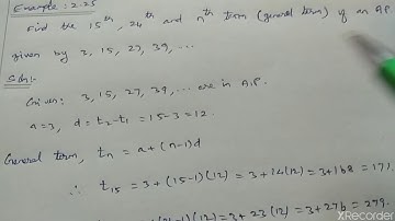
10th Std Maths Example 2.25 Find the 15th, 24th and nth term (general) of an AP given by 3,15,27,39.

Tonton & Download Video Musik Gratis

⬇ DOWNLOAD NOW
Jika muncul iklan pop-up, tutup lalu klik tombol kembali

Download lagu 10th Std Maths Example 2.25 Find the 15th, 24th and nth term (general) of an AP given by 3,15,27,39. secara gratis hanya untuk keperluan promosi. Dukung artis favorit kamu dengan membeli musik original di iTunes atau platform resmi lainnya.