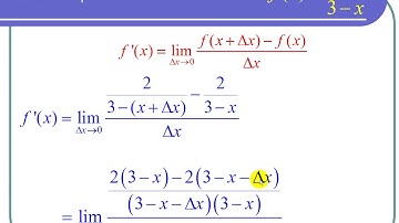
Find a Derivative Using The Limit Definition (Rational Function: Linear/Linear)

Tonton & Download Video Musik Gratis

⬇ DOWNLOAD NOW
Jika muncul iklan pop-up, tutup lalu klik tombol kembali

Download lagu Find a Derivative Using The Limit Definition (Rational Function: Linear/Linear) secara gratis hanya untuk keperluan promosi. Dukung artis favorit kamu dengan membeli musik original di iTunes atau platform resmi lainnya.