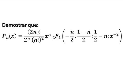
Hypergeometric function: Legendre polynomial in terms of hypergeometric function. Lecture 11

Tonton & Download Video Musik Gratis

⬇ DOWNLOAD NOW
Jika muncul iklan pop-up, tutup lalu klik tombol kembali

Download lagu Hypergeometric function: Legendre polynomial in terms of hypergeometric function. Lecture 11 secara gratis hanya untuk keperluan promosi. Dukung artis favorit kamu dengan membeli musik original di iTunes atau platform resmi lainnya.