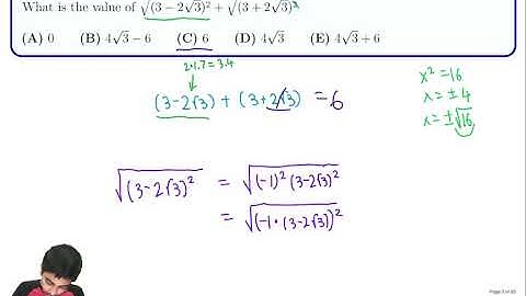
2021 AMC 10B #15 (Using Algebraic Manipulations and Symmetric Polynomials)

Tonton & Download Video Musik Gratis

⬇ DOWNLOAD NOW
Jika muncul iklan pop-up, tutup lalu klik tombol kembali

Download lagu 2021 AMC 10B #15 (Using Algebraic Manipulations and Symmetric Polynomials) secara gratis hanya untuk keperluan promosi. Dukung artis favorit kamu dengan membeli musik original di iTunes atau platform resmi lainnya.