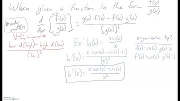
AP Calculus Derivative Series Ep. 5 – Complex Rational Function using Quotient Rule

Tonton & Download Video Musik Gratis

⬇ DOWNLOAD NOW
Jika muncul iklan pop-up, tutup lalu klik tombol kembali

Download lagu AP Calculus Derivative Series Ep. 5 – Complex Rational Function using Quotient Rule secara gratis hanya untuk keperluan promosi. Dukung artis favorit kamu dengan membeli musik original di iTunes atau platform resmi lainnya.