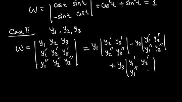
Solving 𝒚′′ + 𝟑𝒚′ + 𝟐𝒚 = 𝐬𝐢𝐧 ⁡ (𝒆^𝒙) using the Wronskian of Functions || Differential Equations

Tonton & Download Video Musik Gratis

⬇ DOWNLOAD NOW
Jika muncul iklan pop-up, tutup lalu klik tombol kembali

Download lagu Solving 𝒚′′ + 𝟑𝒚′ + 𝟐𝒚 = 𝐬𝐢𝐧 ⁡ (𝒆^𝒙) using the Wronskian of Functions || Differential Equations secara gratis hanya untuk keperluan promosi. Dukung artis favorit kamu dengan membeli musik original di iTunes atau platform resmi lainnya.