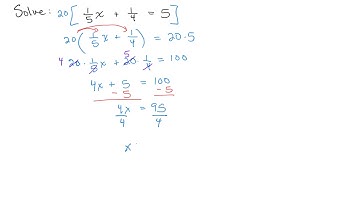
Grade 8 Math #7.2a, Linear Equations - Solving equations with fractions

Tonton & Download Video Musik Gratis

⬇ DOWNLOAD NOW
Jika muncul iklan pop-up, tutup lalu klik tombol kembali

Download lagu Grade 8 Math #7.2a, Linear Equations - Solving equations with fractions secara gratis hanya untuk keperluan promosi. Dukung artis favorit kamu dengan membeli musik original di iTunes atau platform resmi lainnya.