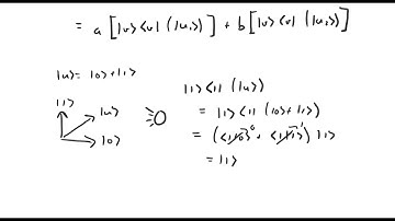
Quantum Physics 2.4 - Projection Operator Matrix Mechanics

Tonton & Download Video Musik Gratis

⬇ DOWNLOAD NOW
Jika muncul iklan pop-up, tutup lalu klik tombol kembali

Download lagu Quantum Physics 2.4 - Projection Operator Matrix Mechanics secara gratis hanya untuk keperluan promosi. Dukung artis favorit kamu dengan membeli musik original di iTunes atau platform resmi lainnya.