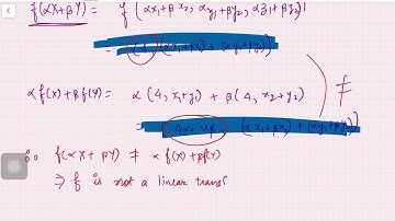
Linear Algebra (Linear transformations ) Question UGC NET (Q.ID.K(NET)LA20M)

Tonton & Download Video Musik Gratis

⬇ DOWNLOAD NOW
Jika muncul iklan pop-up, tutup lalu klik tombol kembali

Download lagu Linear Algebra (Linear transformations ) Question UGC NET (Q.ID.K(NET)LA20M) secara gratis hanya untuk keperluan promosi. Dukung artis favorit kamu dengan membeli musik original di iTunes atau platform resmi lainnya.