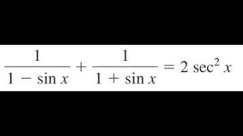
1,1 sinx+1,1+sinx=2sec^2x Verifying Trigonometric Identities, How to Verify Trig Identities

Tonton & Download Video Musik Gratis

⬇ DOWNLOAD NOW
Jika muncul iklan pop-up, tutup lalu klik tombol kembali

Download lagu 1,1 sinx+1,1+sinx=2sec^2x Verifying Trigonometric Identities, How to Verify Trig Identities secara gratis hanya untuk keperluan promosi. Dukung artis favorit kamu dengan membeli musik original di iTunes atau platform resmi lainnya.