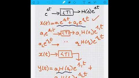
Complex Exponentials as Eigen Function of LTI Systems | Contunuous Time Fourier Series

Tonton & Download Video Musik Gratis

⬇ DOWNLOAD NOW
Jika muncul iklan pop-up, tutup lalu klik tombol kembali

Download lagu Complex Exponentials as Eigen Function of LTI Systems | Contunuous Time Fourier Series secara gratis hanya untuk keperluan promosi. Dukung artis favorit kamu dengan membeli musik original di iTunes atau platform resmi lainnya.