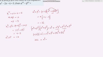
If \[\alpha ,\beta \] are the roots of the equation \[{x^2}\] – 2x + 4 = 0, then

Tonton & Download Video Musik Gratis

⬇ DOWNLOAD NOW
Jika muncul iklan pop-up, tutup lalu klik tombol kembali

Download lagu If \[\alpha ,\beta \] are the roots of the equation \[{x^2}\] – 2x + 4 = 0, then secara gratis hanya untuk keperluan promosi. Dukung artis favorit kamu dengan membeli musik original di iTunes atau platform resmi lainnya.