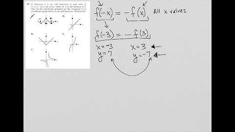
If `f(x)` is a function that is odd and even simultaneously, then `f(3)-f(2)` is equal to

Tonton & Download Video Musik Gratis

⬇ DOWNLOAD NOW
Jika muncul iklan pop-up, tutup lalu klik tombol kembali

Download lagu If `f(x)` is a function that is odd and even simultaneously, then `f(3)-f(2)` is equal to secara gratis hanya untuk keperluan promosi. Dukung artis favorit kamu dengan membeli musik original di iTunes atau platform resmi lainnya.