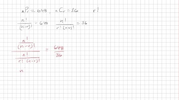
If nPr = nP(r+1) and nCr = nC(r-1) then find n and r || ExcMATHS

Tonton & Download Video Musik Gratis

⬇ DOWNLOAD NOW
Jika muncul iklan pop-up, tutup lalu klik tombol kembali

Download lagu If nPr = nP(r+1) and nCr = nC(r-1) then find n and r || ExcMATHS secara gratis hanya untuk keperluan promosi. Dukung artis favorit kamu dengan membeli musik original di iTunes atau platform resmi lainnya.