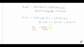
IIT JEE VECTOR ALGEBRA If ` vec a , vec b` and ` vec c` are three non-zero, non coplanar vector...

Tonton & Download Video Musik Gratis

⬇ DOWNLOAD NOW
Jika muncul iklan pop-up, tutup lalu klik tombol kembali

Download lagu IIT JEE VECTOR ALGEBRA If ` vec a , vec b` and ` vec c` are three non-zero, non coplanar vector... secara gratis hanya untuk keperluan promosi. Dukung artis favorit kamu dengan membeli musik original di iTunes atau platform resmi lainnya.