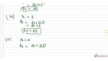
The demand function of a commodity x is given by `Q_(X) = 20 - 3P_(X)`. Find out

Tonton & Download Video Musik Gratis

⬇ DOWNLOAD NOW
Jika muncul iklan pop-up, tutup lalu klik tombol kembali

Download lagu The demand function of a commodity x is given by `Q_(X) = 20 - 3P_(X)`. Find out secara gratis hanya untuk keperluan promosi. Dukung artis favorit kamu dengan membeli musik original di iTunes atau platform resmi lainnya.