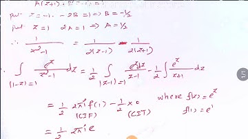
Complex Analysis_ CSIR-NET, June-2018 (Ques-33, 34, 35, 36), Study Material of CSIR UGC NET Maths

Tonton & Download Video Musik Gratis

⬇ DOWNLOAD NOW
Jika muncul iklan pop-up, tutup lalu klik tombol kembali

Download lagu Complex Analysis_ CSIR-NET, June-2018 (Ques-33, 34, 35, 36), Study Material of CSIR UGC NET Maths secara gratis hanya untuk keperluan promosi. Dukung artis favorit kamu dengan membeli musik original di iTunes atau platform resmi lainnya.