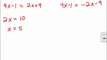
Chapter 1.4 Solving Absolute Value Equations and Inequalities (Video 3 of 3: Abs. Val. Inequalities)

Tonton & Download Video Musik Gratis

⬇ DOWNLOAD NOW
Jika muncul iklan pop-up, tutup lalu klik tombol kembali

Download lagu Chapter 1.4 Solving Absolute Value Equations and Inequalities (Video 3 of 3: Abs. Val. Inequalities) secara gratis hanya untuk keperluan promosi. Dukung artis favorit kamu dengan membeli musik original di iTunes atau platform resmi lainnya.