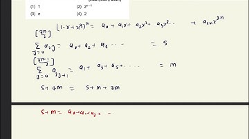
Binomial Theorem: Let [x] denote greatest integer less than or equal to x. If for

Tonton & Download Video Musik Gratis

⬇ DOWNLOAD NOW
Jika muncul iklan pop-up, tutup lalu klik tombol kembali

Download lagu Binomial Theorem: Let [x] denote greatest integer less than or equal to x. If for secara gratis hanya untuk keperluan promosi. Dukung artis favorit kamu dengan membeli musik original di iTunes atau platform resmi lainnya.