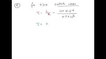
The switch S shown in figure (32-E35) is kept closed for a long time and is then opened a

Tonton & Download Video Musik Gratis

⬇ DOWNLOAD NOW
Jika muncul iklan pop-up, tutup lalu klik tombol kembali

Download lagu The switch S shown in figure (32-E35) is kept closed for a long time and is then opened a secara gratis hanya untuk keperluan promosi. Dukung artis favorit kamu dengan membeli musik original di iTunes atau platform resmi lainnya.